首页
教材材料(首次选用01-203)
01.博雅教育学院-首次选用教材样章
02.电子商贸学院-首次选用教材样章
03.经济管理学院-首次选用教材样章
04.护理与健康学院-首次选用教材样章
05.数字媒体与艺术学院-首次选用教材样章
06.人工智能学院-首次选用教材样章
07.药学院-首次选用教材样章
08.医学应用技术学院-首次选用教材样章
09.智能制造学院-首次选用教材样章
10.马克思主义学院-首次选用教材样章
职业院校教材管理办法
教材选用工作通知
选用汇总表
审核指引
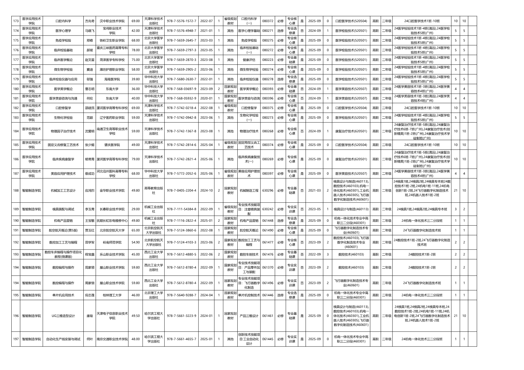
选用汇总表
当前位置:
首页
>
选用汇总表
技术支持:广东力拓网络科技有限公司