首页
教材材料(首次选用01-322)
01. 电子商务学院-首次选用教材样章
02. 经济管理学院-首次选用教材样章
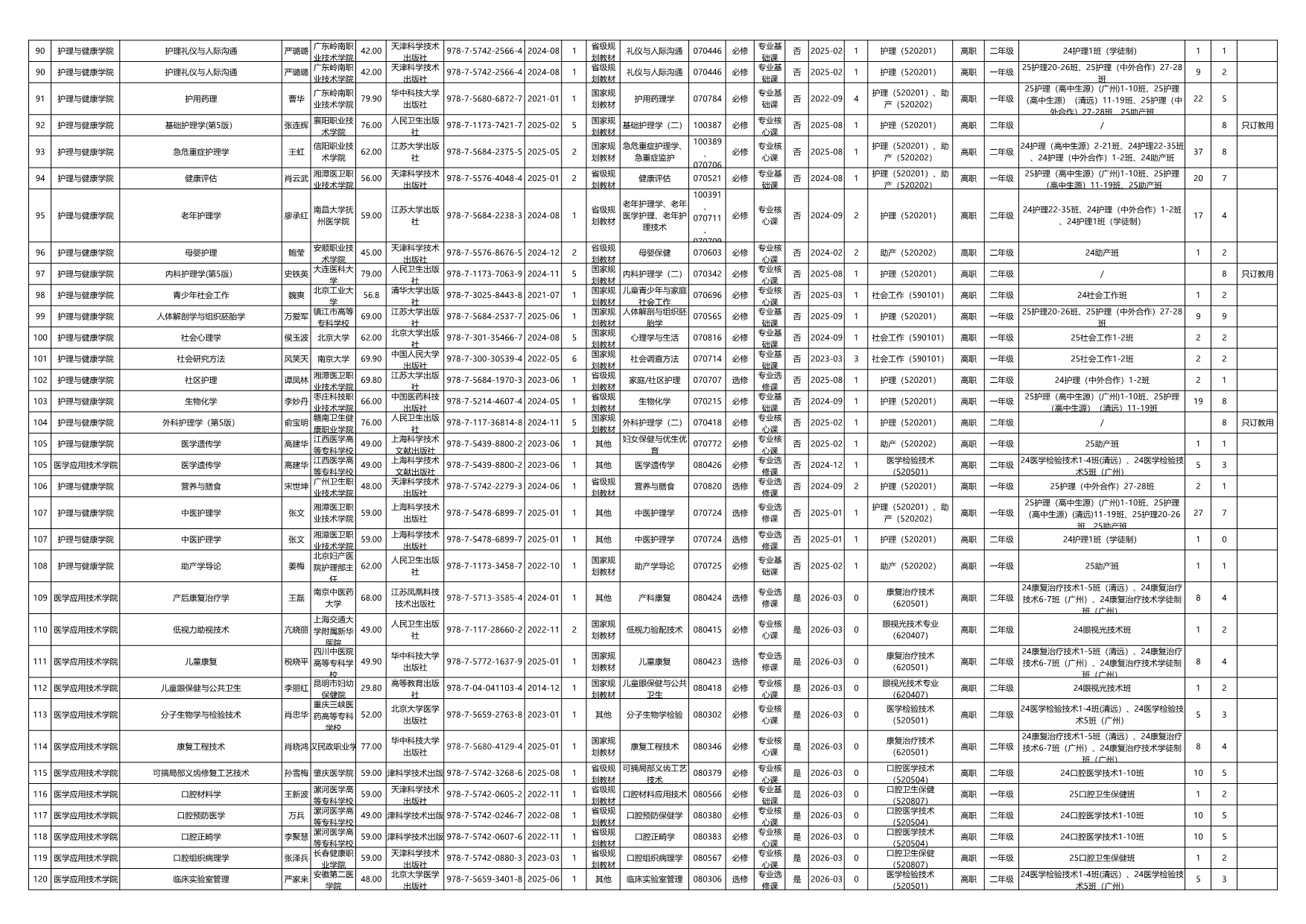
03. 护理与健康学院-首次选用教材样章
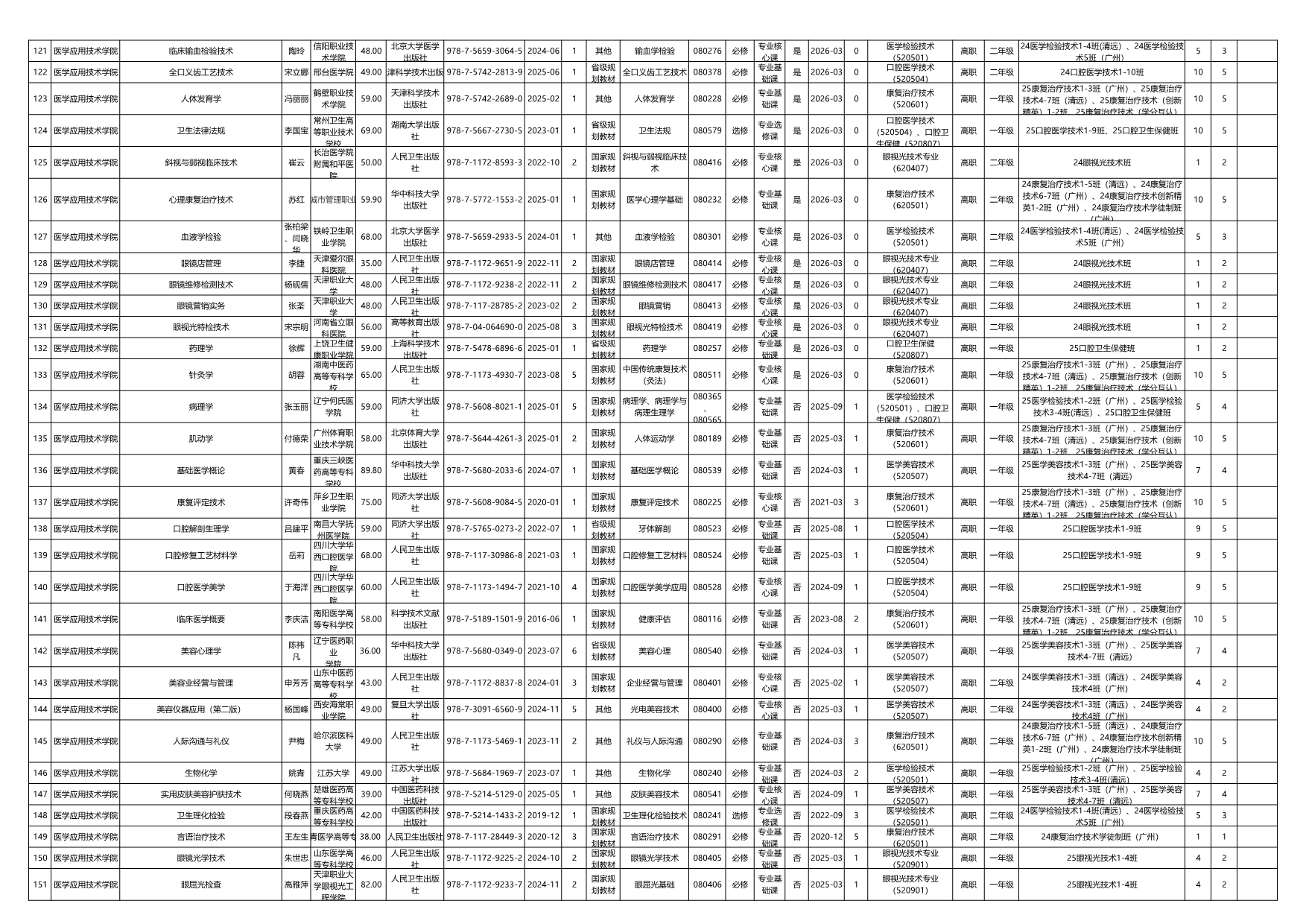
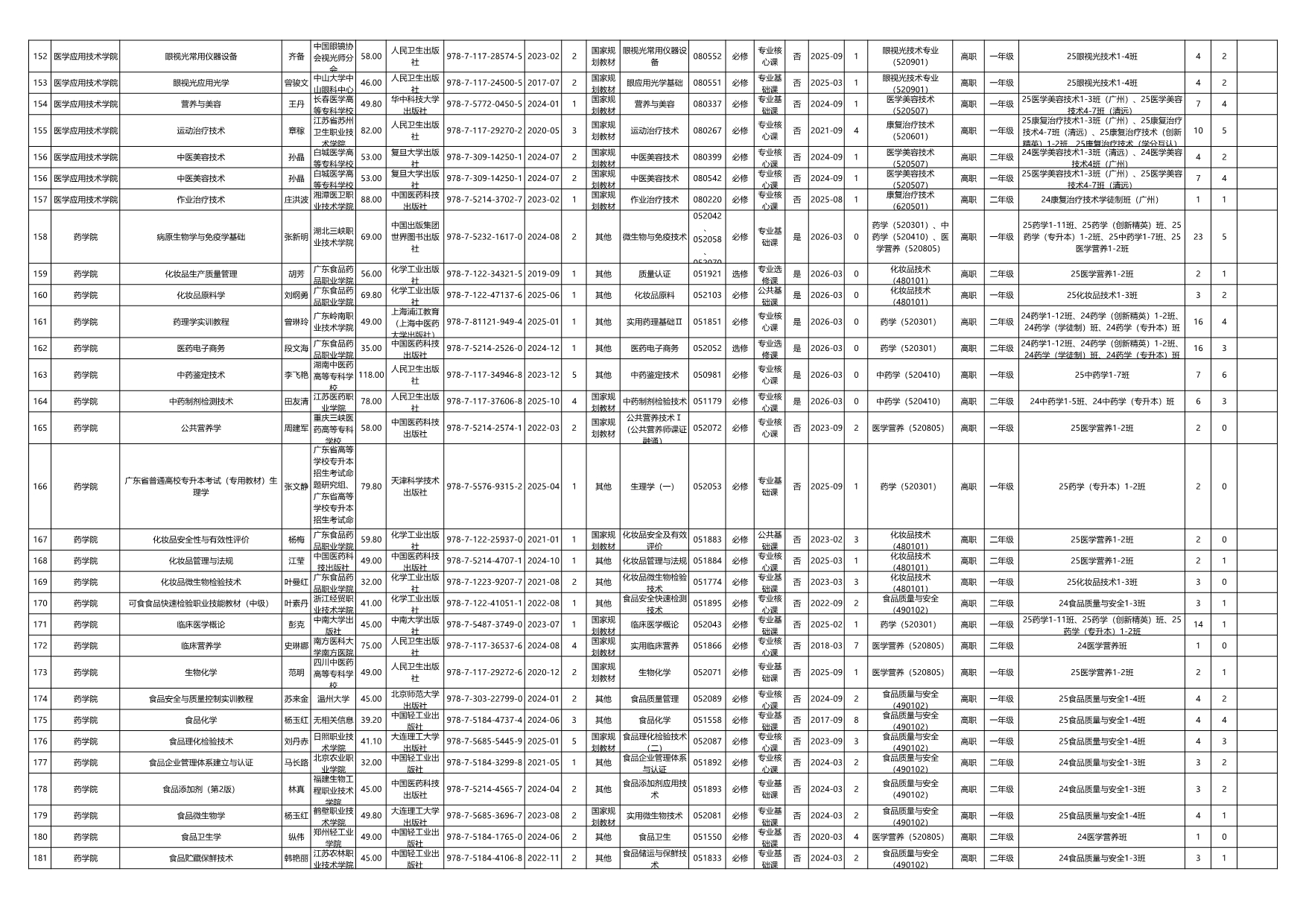
04.医学应用技术学院-首次选用教材样章
05. 药学院-首次选用教材样章
06. 数字媒体与艺术学院-首次选用教材样章
07. 人工智能学院-首次选用教材样章
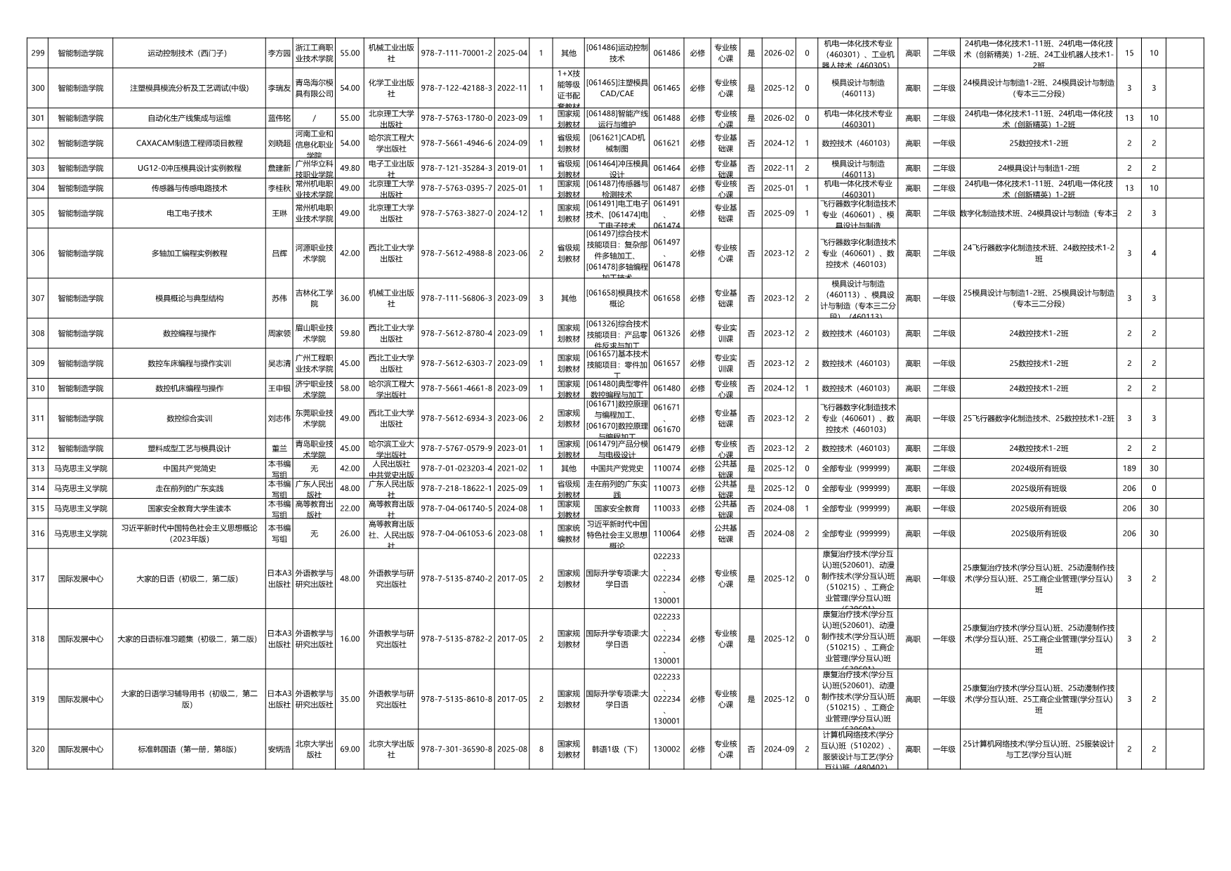
08. 智能制造学院-首次选用教材样章
09. 马克思主义学院-首次选用教材样章
10. 国际发展中心-首次使用教材样章
职业院校教材管理办法
教材选用工作通知
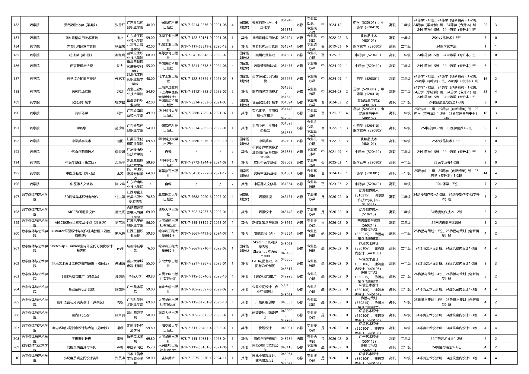
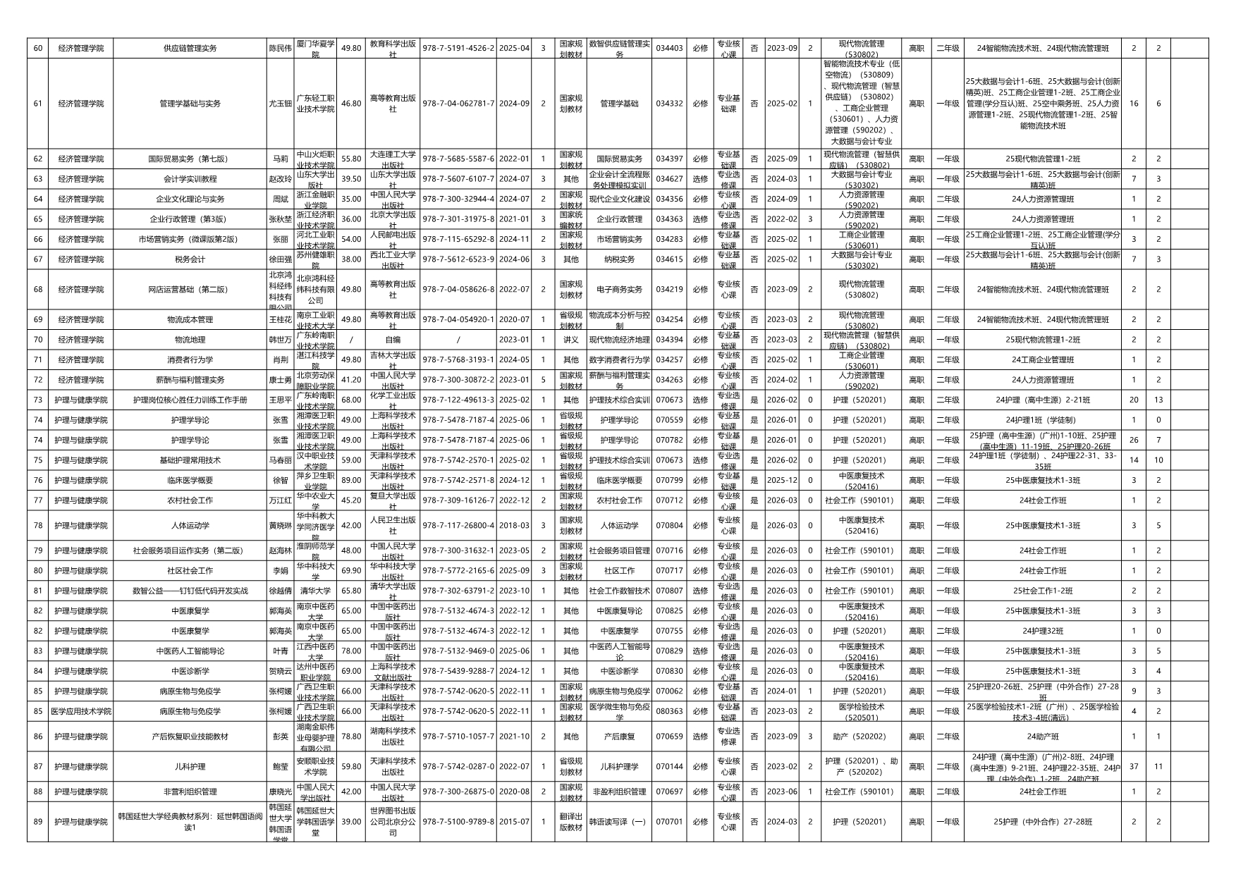
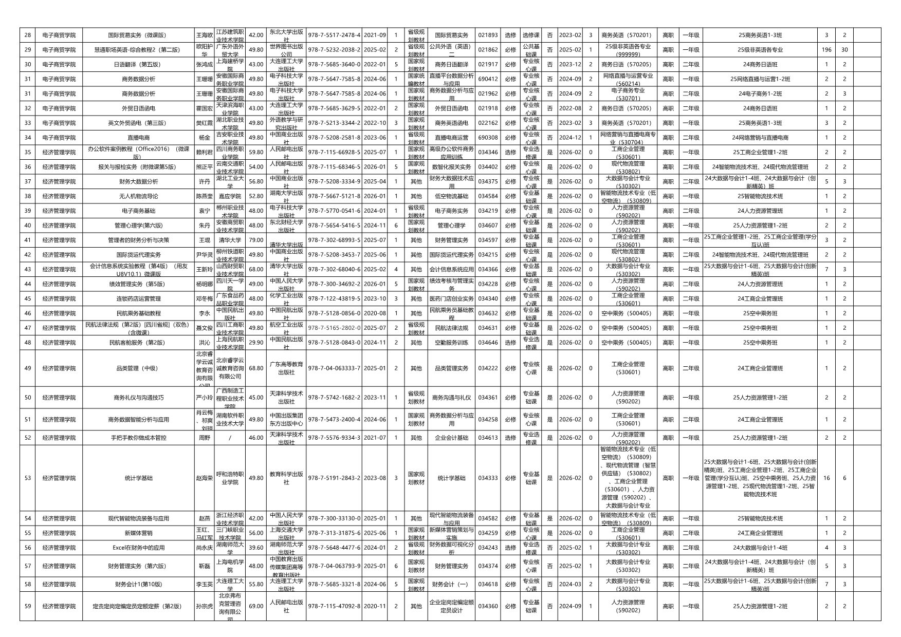
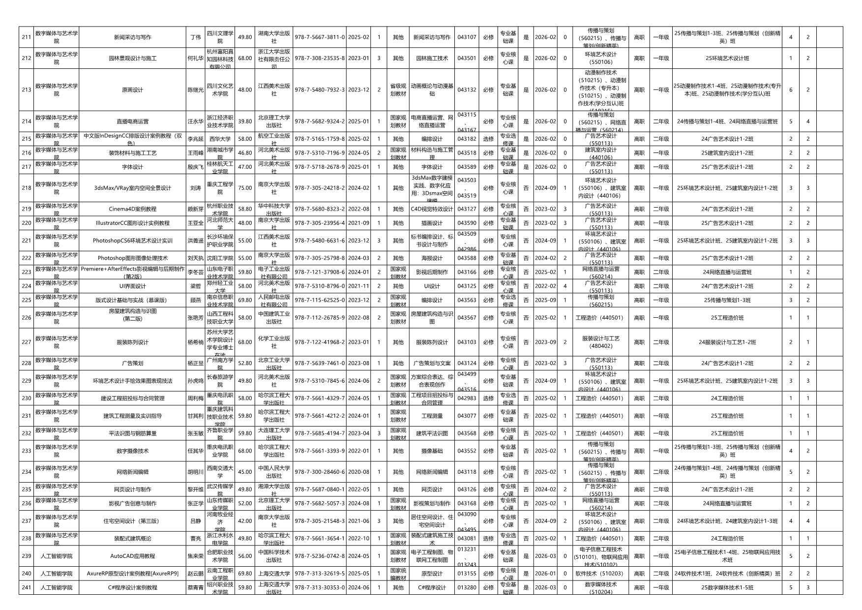
选用汇总表
审核指引
选用汇总表
当前位置:
首页
>
选用汇总表
技术支持:广东力拓网络科技有限公司